Quantcast

Heat-Related Mortality Risk Is Widespread Across Washington State, Study Shows

Heat-related deaths are an issue across Washington state, and they occur even in regions that typically have milder climates, according to a University of Washington study published Aug. 30 in the journal Atmosphere.


Hannah Hickey
May 10, 2023

This status is on the north end of campus. Washington state just experienced its warmest August on record. New research shows that the state already experiences heat-related mortality.University of Washington Heat-related deaths are an issue across Washington state, and they occur even in regions that typically have milder climates, according to a University of Washington study published Aug. 30 in the journal Atmosphere. This is the most extensive study yet of heat-related mortality in Washington state, and the first to look beyond the major population centers to include rural areas.

Statewide, the odds of dying were on average 8% higher in recent decades on days when the combination of temperature and humidity, known as the humidex, was in the top 1% of recorded values at that location, compared to a day with a mid-range value for humidex.

“This study shows that heat-related mortality, even in a temperate area like Washington state, is a current environmental public health problem,” said lead author Logan Arnold, who did the work as a UW master’s student in quantitative ecology and resource management. “It’s not a future public health problem that will exist in a warming climate — it’s something that we are already experiencing now.”

Although heat stroke is sometimes listed as the official cause of death, other conditions exacerbated by heat are often the immediate focus. Researchers used statistical methods to uncover “hidden” deaths that may have listed something else, like illness or a chronic disease, as the primary cause.

“This research adds to existing evidence that the burden of heat-health impacts resides in the effect on underlying health conditions,” said senior author Tania Busch Isaksen, a UW associate teaching professor in environmental and occupational health sciences and co-director for the UW’s Collaborative on Extreme Event Resilience. “For example, we see an increase in diabetic and cardiovascular-related mortality associated with extreme heat days. Physiologically it is harder for people with underlying health conditions to thermoregulate, but it is also likely that medications play a role in the body’s ability to dissipate heat.”

The study analyzed deaths from 1980 to 2018 recorded by the Washington State Department of Health. The authors included only non-traumatic deaths in the months of May through September and separated them into 10 federally defined climatic zones. Exposure to heat on the day of death was determined based on home address and the humidex on that date.

Results support what previous studies in King County have shown: Heat does lead to more deaths, even in places with milder climates.

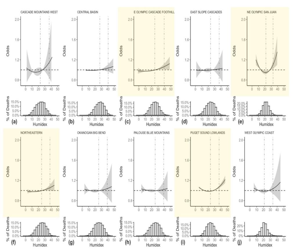
The study looked at mortality data in 10 federally defined climatic zones for Washington state, shown here, from 1980 to 2018. Heat-related mortality risks were higher in four climate zones: the Puget Sound lowlands (fuchsia); east slope Cascades (mossy green); the Northeast Olympic San Juan (sea green); and Northeastern (teal).Arnold et al./Atmosphere 

The mortality rate on days with humidex in the top 1% of historical values was significantly higher for four climate zones: the Puget Sound lowlands, which includes Seattle and other major cities; the east slope Cascades, circling Puget Sound but farther inland; Northeastern, which borders Canada and Idaho and includes the city of Spokane; and the Northeast Olympic San Juan, which includes all the San Juan Islands, Port Townsend and a coastal stretch of the Olympic Peninsula.

Although the total number of deaths in the Northeast Olympic San Juans zone was lower than in the other three regions, that region had an especially sharp increase with rising humidex.

“Place really matters. You can’t just apply what we’ve seen from other parts of the U.S. to what’s happening here,” Busch Isaksen said. “That’s why local research is critically important to understanding environmental risks.”

The other climate zones didn’t necessarily lack risk, but didn’t have enough mortality data to obtain a statistically certain trend.

These graphs show how mortality odds change with increasing humidex for each of the 10 Washington climate zones. Four climate zones (highlighted) had statistically significant higher odds of mortality with increasing humidex. Other climate zones didn’t necessarily lack risk, but lacked enough data to produce a statistically certain trend.Arnold et al./Atmosphere 

The high increase in mortality in places with more moderate climates, the authors suggest, could be because these areas are less prepared for heat, meaning they are less physically adjusted to heat and have fewer protective behaviors; or have less adaptative infrastructure like air conditioning or access to cooling centers.

The study took place before the record-breaking Pacific Northwest heat wave of 2021. But in addition to looking at historic data, the authors considered projections for future climates in 2030, 2050 and 2080. Three zones (all previous zones except the Northeast) had statistically significant increases in heat mortality. Averaged across those three regions, heat-related deaths were about one-third higher in 2030, more than double in 2050 and six times higher in conditions projected for 2080.

Although the study didn’t consider preparedness measures, the results could inform planning efforts across the state.

“If you don’t know that your region is affected by extreme heat — if you think it’s just an Arizona or Texas problem — then you won’t be prepared for it,” Busch Isaksen said. “The value of this study is that it empowers local environmental public health organizations with risk information specific to susceptible populations within their region so that they can use their limited funding to target heat exposure reduction strategies before the next extreme heat event occurs.”

Additional co-author is Mark Scheuerell, a UW associate professor of aquatic and fishery sciences. Arnold is now a data analyst at West Virginia University, studying ways to improve children’s access to mental health services.

For more information contact Busch Isaksen at tania@uw.edu or Arnold at larnold3@uw.edu.

Publication: Logan Arnold, et al. Mortality Associated with Extreme Heat in Washington State: The Historical and Projected Public Health Burden. Atmosphere, (2023). DOI: 10.3390/atmos13091392

Original Story Source: University of Washington


RECOMMENDED